Skip to main content
U.S. flag

An official website of the United States government

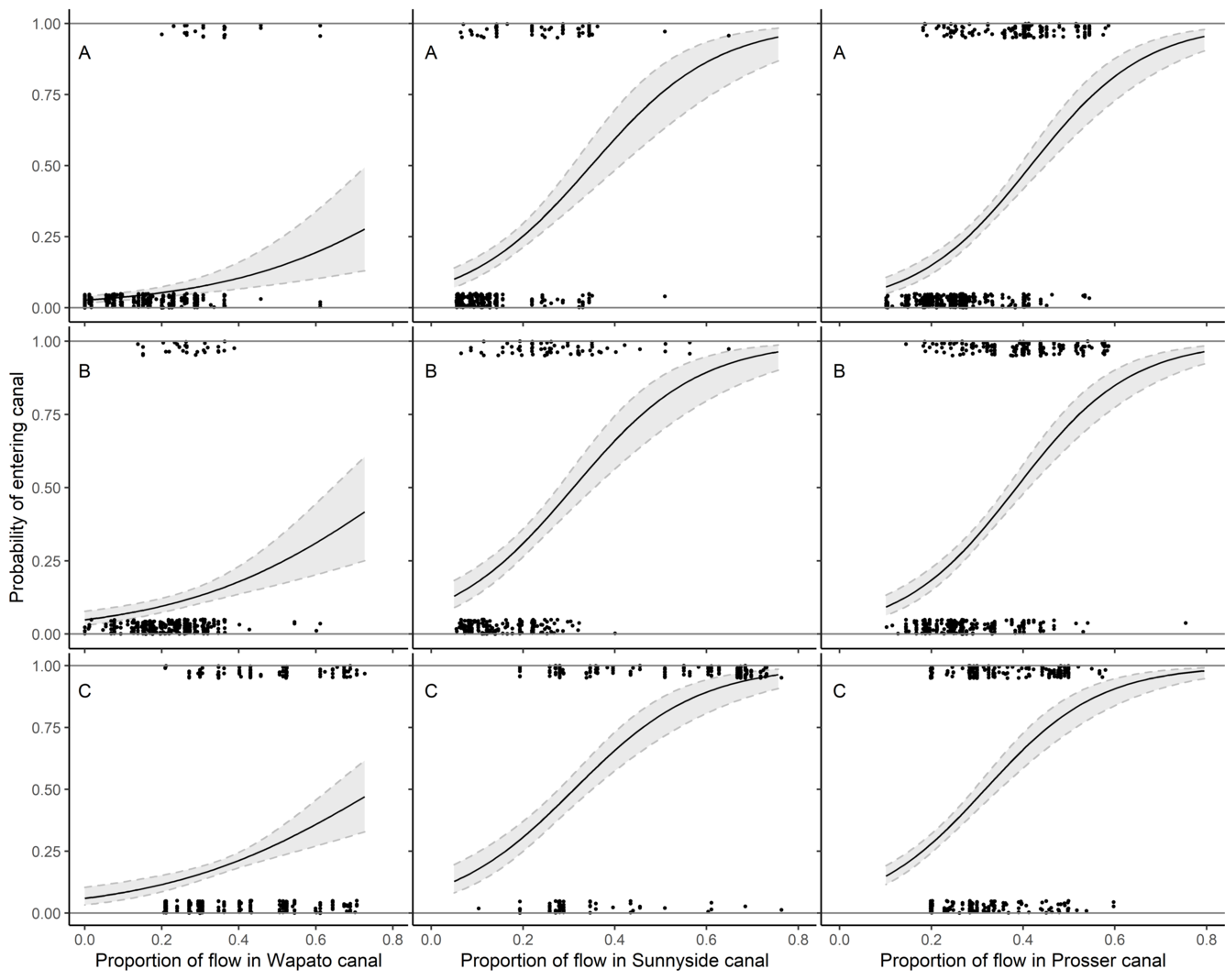
Nine Panel Plot of Fish Passage Entrainment vs Canal Flow

Detailed Description

Estimated relationship between entrainment probability and proportion of river flow entering canals at Wapato Dam, Sunnyside Dam, and Prosser Dam on the Yakima River, Washington. The relationships are shown at the mean total river flow for (A) yearling Chinook Salmon, (B) juvenile steelhead, and (C) subyearling Chinook Salmon. Each panel includes rug plots for the individual tagged fish in each data set, and the 95% confidence regions are shown in gray. (Figure 4 in the publication titled, "Survival implications of diversion entrainment for out-migrating juvenile Chinook Salmon and steelhead".)

Sources/Usage

Public Domain.

Was this page helpful?