Skip to main content
U.S. flag

An official website of the United States government

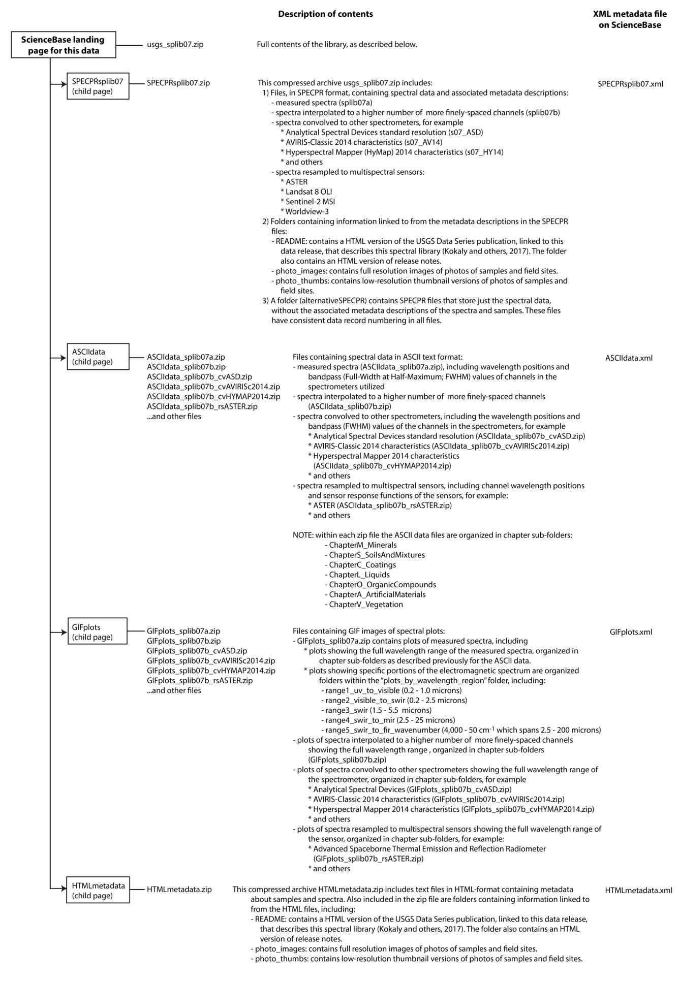
USGS Spectral Library Contents Schematic

Detailed Description

Schematic of USGS Spectral Library Version 7 contents. This data can be downloaded from the USGS Data Release page:

Kokaly, R.F., Clark, R.N., Swayze, G.A., Livo, K.E., Hoefen, T.M., Pearson, N.C., Wise, R.A., Benzel, W.M., Lowers, H.A., Driscoll, R.L., and Klein, A.J., 2017, USGS Spectral Library Version 7 Data: U.S. Geological Survey data release, https://doi.org/10.5066/F7RR1WDJ.

Sources/Usage

Public Domain.

Was this page helpful?