Skip to main content
U.S. flag

An official website of the United States government

December 2, 2025

As juvenile salmon migrate out to the ocean, they face many threats. To improve their survival, the USGS Western Fisheries Research Center (WFRC) partners with the Yakama Nation to reduce predation and ensure safer passage.

Up to 70% of most juvenile salmon species migrating to the ocean currently die along their final 40-mile journey of the Yakima River, from Prosser to its convergence with the mighty Columbia River basin. 

 

USGS WFRC researchers are working closely with Yakama Nation to increase the survival of these culturally and economically important fish. 

 

Media
map of Yakima River Basin, WA
This is a map of the lower Yakima River showing locations where acoustic telemetry receivers were deployed (open circles) to detect tagged fish that were released at two sites (stars). This was part of the study titled, "Survival implications of diversion entrainment for out-migrating juvenile Chinook Salmon and steelhead.

Smallmouth Bass: The Challenge of Invasive Species  

With so many young salmon and steelhead dying so quickly, predation appears to be a likely culprit. However, more information—like what is eating these fish, and where and when they are being eaten—is required to develop protections for them.  

Smallmouth Bass, introduced out west as sport fish, are a growing threat to the historically cold-water river systems of the Pacific Northwest. These voracious warm-water predators are growing in abundance and spreading. Studies have shown that Smallmouth Bass consume young salmon and can disrupt the overall ecosystem.  

WFRC and Yakama Nation scientists are working to assess whether bass removal efforts can result in fewer salmon and steelhead being eaten. Preliminary efforts began in late spring 2025 when WFRC and Yakama Nation scientists spent weeks removing Smallmouth Bass and taking samples of their stomach contents. Over 6,000 bass were removed this year alone!

With bass stomach contents in hand, WFRC staff are working in the lab to determine whether there’s enough information to estimate how many salmon the Smallmouth Bass are eating. If successful, future work will focus on estimating the value of bass removal, giving Yakama Nation managers the information they need to determine whether and if so, how to continue with removal efforts.

Pelican Predation Project 

Smallmouth Bass aren’t the only predator of concern in the Yakima River basin. The number of American White Pelicans traveling to the Yakima River basin has increased over the past several years, and their stay in the area overlaps with the time juvenile salmon are migrating downstream.  It also overlaps with adult the time adult sockeye salmon return home to spawn.

Like Smallmouth Bass, pelicans are voracious eaters. A study of the pelican population visiting Badger Island (BGI) in the Columbia River estimated that consumed a substantial proportion and number of migrating adult salmon, with estimated predation probabilities exceeding 8% and consumption estimates of more than 40,000 fish in some years!

Scientists at the WFRC receive Pelican gut and diet contents from the Yakama Nation from April through July, during the season that pelicans arrive until they leave.

Using these samples, scientists can conduct a diet analysis and use bioenergetics models to estimate daily per-capita predation rates, providing a quick snapshot of what the Pelicans recently consumed.

This information is then used to estimate the daily consumption patterns of pelicans in the basin and then estimate total population predation. Several PIT tags used to identify juvenile salmon were found in these stomach contents, which is known to be a large subset of the out-migrating salmon smolts. Using this information, scientists can get a better understanding of the total predation rate of these birds. 

As a follow-up study, a zoo in Canada is assessing how long these tags stay in the pelicans before being excreted to better understand the timeline for these data.

Media
USGS researchers electrofishing on the Yakima River
Researchers electrofishing on the Yakima River.

Additionally, scientists in the lab are using genetic techniques to help with the exact identification of salmonids being consumed.  

In order to account for a larger time frame, scientists use stable isotope analysis to figure out what groups of fish they are eating at course resolution. They use Delta 15 nitrogen and Delta 13 carbon isotopes to track the pelican diets and where they are located in the food web. The amount of heavy carbon in the tissues can be an indicator of whether they eat more benthic or pelagic food sources. Meanwhile, the nitrogen determines the trophic level, which is the position it occupies in the food web. 

Media
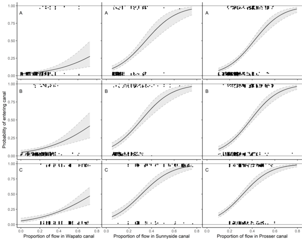
nine panel plot of passage entrainment vs canal flow
Estimated relationship between entrainment probability and proportion of river flow entering canals at Wapato Dam, Sunnyside Dam, and Prosser Dam on the Yakima River, Washington. The relationships are shown at the mean total river flow for (A) yearling Chinook Salmon, (B) juvenile steelhead, and (C) subyearling Chinook Salmon. Each panel includes rug plots for the individual tagged fish in each data set, and the 95% confidence regions are shown in gray.

River Flow 

Since 2012, the USGS WFRC has partnered with the Yakama Nation to conduct studies evaluating how river flows effect survival of salmon in the Yakiama River Basin. The Yakiama River is home to a series of dams, including the Roza, Wapato, Sunnyside, and Wanawish Dams. Using statistical modeling, researchers help resource managers determine the best water allocation to account for both the needs of migrating salmon smolts (Chinook and Steelhead) and human electricity consumption. For example, researchers’ analysis of Roza Dam suggested that operations which decrease bypass and east gate passage and increase west gate passage will increase overall survival through the dam. This type of analysis becomes an important tool that managers use to make consequential dam operational decisions. 

 

Along with dam controls, scientists at WFRC looked at the negative effects of diversion dams, monitoring downstream migration behavior of 4403 juvenile Chinook Salmon and steelhead during 2018-2021. They found that survival probability estimates for groups of tagged fish that were entrained into canals were lower than survival probability estimates for tagged fish that passed through spill bays on the dams.

 

Partnership with the Yakama Nation  

The collaboration with the Yakama Nation is central to the success of these basin initiatives. The Yakama Nation's deep-rooted understanding of the region's ecology, combined with scientific expertise, creates a robust framework for addressing the challenges posed by invasive species. This partnership not only enhances the effectiveness of the conservation efforts but also respects the cultural values and traditional practices of the Yakama people.

 

Looking Ahead  

As these projects progress, the data collected will be vital in shaping future management decisions and policies aimed at safeguarding native salmon populations and the broader aquatic ecosystem. The work being done now sets the stage for long-term environmental health benefits and supports the sustainability of the region's fishery resources.

 

Media
graph of survival probabilities of fish through canals versus dams
Survival probabilities of fish through dams versus through canals.

Conclusion  

The partnership between USGS WFRC scientists and the Yakama Nation represents a proactive and collaborative approach to combating threats to salmon in the basin. By removing smallmouth bass and other salmon-eating predators, this initiative not only seeks to protect native fish populations but also fosters a deeper understanding of ecological interactions. As fieldwork continues through 2026, the insights gained will be instrumental in ensuring the resilience of local ecosystems for generations to come. 

Was this page helpful?