Skip to main content
U.S. flag

An official website of the United States government

Multimedia

Images

Figure 1. Photographs of commercial, expanded vermiculite ore from the four major historical sources.
Photographs of commercial, expanded vermiculite ore.
Photographs of commercial, expanded vermiculite ore.
Photographs of commercial, expanded vermiculite ore.

Figure 1. Photographs of commercial, expanded vermiculite ore from the four major historical sources: Libby, Montana; Palabora, South Africa; Louisa, Virginia; and Enoree, South Carolina. Scale of the rightmost image in each set is the same as the left image unless otherwise labeled.

Figure 1. Photographs of commercial, expanded vermiculite ore from the four major historical sources: Libby, Montana; Palabora, South Africa; Louisa, Virginia; and Enoree, South Carolina. Scale of the rightmost image in each set is the same as the left image unless otherwise labeled.

Spectral Library database schema
USGS Spectral Library Contents Schematic
USGS Spectral Library Contents Schematic
USGS Spectral Library Contents Schematic

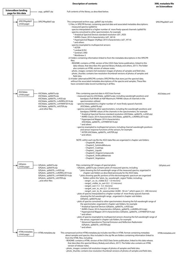
Schematic of USGS Spectral Library Version 7 contents. This data can be downloaded from the USGS Data Release page:

Schematic of USGS Spectral Library Version 7 contents. This data can be downloaded from the USGS Data Release page:

Image shows a hyperspectral map of deposit types
Alaska Hyperspectral Minerals Map
Alaska Hyperspectral Minerals Map
Alaska Hyperspectral Minerals Map

Preliminary map of selected minerals for a portion of the Nabesna area of interest, near Orange Hill and Bond Creek deposits in Alaska. The image, derived from HyMap imaging spectrometer data collected in July 2014, is draped on shaded relief.

Preliminary map of selected minerals for a portion of the Nabesna area of interest, near Orange Hill and Bond Creek deposits in Alaska. The image, derived from HyMap imaging spectrometer data collected in July 2014, is draped on shaded relief.

Bluish-gray elongate amphibole bundles found in samples of commercial expanded vermiculite ore from Libby.
Bluish-gray elongate amphibole bundles found in samples.
Bluish-gray elongate amphibole bundles found in samples.
Bluish-gray elongate amphibole bundles found in samples.

Figure 2. Bluish-gray elongate amphibole bundles found in samples of commercial expanded vermiculite ore from Libby.

 Figure 3.   Secondary electron images of elongate amphibole bundles from the sink fractions of commercial expanded vermiculite
Secondary electron images of elongate amphibole bundles.
Secondary electron images of elongate amphibole bundles.
Secondary electron images of elongate amphibole bundles.

Figure 3. Secondary electron images of elongate amphibole bundles from the sink fractions of commercial expanded vermiculite ore.

Audio

USGS CoreCast
USGS CoreCast Series
USGS CoreCast Series
Water on the Moon
Water on the Moon
USGS CoreCast
USGS CoreCast Series
USGS CoreCast Series
Water on the Moon

Interview with USGS scientist Dr. Roger Clark about his Sept. 24 Science article that suggests water exists on the moon. Imaging spectroscopy led Clark and others to this discovery which opens the possibilities into further moon exploration.

USGS CoreCast
USGS CoreCast Series
USGS CoreCast Series

Interview with USGS scientist Dr. Roger Clark about his Sept. 24 Science article that suggests water exists on the moon. Imaging spectroscopy led Clark and others to this discovery which opens the possibilities into further moon exploration.

Was this page helpful?